暖边:门窗节能必选项!
发布日期:2024-10-21 8:24:41 浏览次数:
文章来源:门窗万语javascript:void(0);如有侵权,请联系删除!
目前中空玻璃构造基本相似,均由玻璃、间隔层气体和边部密封系统构成。边部密封构造的质量决定着中空玻璃寿命,影响着门窗玻璃边部热工和结露性能,是中空玻璃最重要的构造之一。

近年来,随着门窗节能要求越来越高,传统的铝间隔条密封系统正逐渐被暖边间隔系统所替代,比如我们常听说的TGI、4SG、TPE、TPA、TPSS等。

较早的说法是:任何一种间隔系统只要其热传导系数低于铝金属的导热系数,就可以称为暖边系统。这种说法在一定程度上反映了暖边间隔系统的特点,但不够严格明确。对暖边系统给出了明确而权威定义的是ISO 10077,2006版中定义如下:
∑(d×λ)=d1×λ1+d2×λ2+…….+dn×λn≤0.007 W/K其中:d为材料厚度,λ为材料导热系数,二者取值方式见下图。

对一个间隔系统来说,若该公式成立,即计算结果小于等于0.007W/K,则称之为暖边系统。根据这个定义,我们可以对间隔系统进行定量判定。例如:根据ISO 10077,材料导热系数聚丙烯为0.22 W/(m·K),不锈钢为17 W/(m·K),铝合金为160 W/(m·K)。将以上数据带入公式得出,TGI(泰诺风)间隔系统计算结果为0.002 W/K,小于0.007 W/K,传统铝间隔系统计算结果是0.112 W/K。国内暖边间隔条相关标准主要有JC/T 2453-2018《中空玻璃间隔条 第3部分:暖边间隔条》和HBZ/T 003-2016《暖边间隔条》,将d×λ乘积之和称为“温差导热值”或“导热因子”。
温差导热值:评价热量传递性能的参数,由不同间隔条材料的厚度与其导热系数的积d×λ的和表示。
导热因子:评价热量传递性能的参数,由间隔条材料的厚度与导热系数的积d×λ的加权值表示。
可以看出,二者其实就是同一参数的不同表达方式,且两本标准中均将暖边间隔条指标要求为不大于0.007 W/K,与ISO 10077保持一致。说完了暖边间隔条的定义,来看看中空玻璃间隔系统在国内外的发展历程吧。中空玻璃由美国人在1865年发明并获得专利。当时的结构为,两片玻璃中间使用绳子或木条来间隔,外面再采用焦泥来密封,缺点在于密封性差,内部没有干燥剂。在后来大约100年间,中空玻璃发展十分缓慢,只在局部结构方面得到了某些改进。从上世纪60年代起,现代中空玻璃材料逐步出现和广泛使用,包括铝间隔系统、有机密封胶和3A分子筛等,使中空玻璃形成了目前的结构。铝间隔系统的应用使得中空玻璃可以工业化生产,但铝导热系数大,导致中空玻璃边部线传热系数较高,降低了整窗保温性能,冬季时玻璃边部结露风险高。为解决中空玻璃边部热损失过多的问题,20世纪70年代末,美国出现了第一个真正意义上的暖边间隔系统;20世纪80年代末,加拿大科学家开发出同时解决中空玻璃节能和耐久性矛盾的间隔系统。泰诺风于2002年研制生产了一种新型暖边间隔系统,称为TGI间隔系统,这种间隔系统具有显著的隔热和防水汽渗透的效果。国内传统铝槽式中空玻璃产品应用时间较长,得到了普遍认可;直到近些年来,随着建筑节能要求越来越高和超低能耗建筑的发展,暖边系统越来越受到重视,成为不少中空玻璃产品的标配。
下面这张图大体上反映了中空玻璃间隔系统的发展历程。

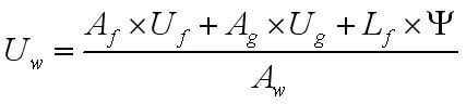
外窗传热系数由玻璃、窗框及边部线性传热系数三部分组成,见下图。

Ψ值,即线传热系数,描述的是通过中空玻璃边部的热量损失。Ψ值越大,通过中空玻璃边部热量损失越大,Ψ值由间隔系统材料的导热系数和构造决定。一个较低的边部线传热系数对整窗保温隔热性能提高非常关键。与铝间隔条相比,暖边系统可明显减少中空玻璃边部热量散失,大大降低室内结露的可能性。

从传热方式来看,中空玻璃边部密封系统与玻璃紧密接触,属于多层平壁传导传热,因而间隔系统材料导热系数影响很大,因此应采用导热系数较小的材料,具体来说,可采用以下三种方法:因而从材料角度,可将暖边系统分为两类:一类为低导热系数的金属框与密封胶组成的刚性间隔系统,另一类为高分子材料为主制成的非刚性间隔系统。对于中空玻璃边部密封系统,优良的材料特性是重要的,但间隔系统的密封构造同样是影响中空玻璃使用寿命的关键之一。传统槽铝式中空玻璃的密封结构可分为单道密封和双道密封两种。单道密封是将两层玻璃加上槽铝式隔条,分子筛填充在铝隔条内,铝隔条的四边用插角接好,再打上密封胶把铝隔条和玻璃粘好。单道密封时,铝隔条紧靠着玻璃,隔热不如暖边构造,而且密封效果较差,容易进入潮气失效,所以建筑上大多采用双道密封。双道密封由两道工艺来保证,第一道密封是热熔性丁基密封胶,主要起密封作用,隔绝水汽;第二道密封是聚硫胶或硅酮胶,因其具有良好的弹性而起到辅助密封、缓冲及保护作用。双道密封时丁基胶和聚硫胶同时使用,中空玻璃具有良好的密封性能和耐紫外性能,延长了使用寿命,但也可能存在“呼吸”作用导致的丁基胶内挤溢出问题。边部密封构造的质量决定着中空玻璃寿命,影响着门窗玻璃边部热工和结露性能,是中空玻璃最重要的构造之一,近年来,传统铝间隔条密封系统正逐渐被暖边间隔系统所替代。对暖边系统给出了明确而权威定义的是ISO 10077,国内相关标准主要有JC/T 2453-2018《中空玻璃间隔条 第3部分:暖边间隔条》和HBZ/T 003-2016《暖边间隔条》,将d×λ乘积之和称为“温差导热值”或“导热因子”。与常用铝间隔系统相比,暖边系统可明显减少中空玻璃边部热量散失,同时也大大降低了室内结露的可能性。暖边系统可通过采用低导热系数金属材料、部分金属材料和非金属材料实现。单道密封构造密封效果较差,容易进入潮气失效。双道密封时丁基胶和聚硫胶同时使用,使中空玻璃具有良好的密封性能和耐紫外性能,延长了使用寿命,但也存在因“呼吸”作用导致丁基胶内挤溢出的问题。我国作为中空玻璃生产使用大国,边部密封技术也应受到足够重视,在吸收国外最新理论及技术的同时,要加强研发新材料和新结构,在建筑节能领域发挥暖边技术应有的作用。